服务热线
0898-68540528
0898-68535553
发现价值   诚信执业   专业高效  合作共赢

资产评估专家指引第9号——数据资产评估

发表时间:2022-11-17 11:49


资产评估专家指引第9号——数据资产评估
时间:2022-04-03 来源:www.zlvalue.com

中评协关于印发《资产评估专家指引第9号——数据资产评估》的通知

中评协〔2019〕40号

各省、自治区、直辖市、计划单列市资产评估协会(注册会计师协会):

为指导资产评估机构及其资产评估专业人员执行数据资产评估业务,中国资产评估协会制定了《资产评估专家指引第9号——数据资产评估》,现予印发,供资产评估机构及其资产评估专业人员执行数据资产评估业务时参考。

请各地方协会将《资产评估专家指引第9号——数据资产评估》及时转发资产评估机构。


附件:资产评估专家指引第9号——数据资产评估


中国资产评估协会2019年12月31日




附件



资产评估专家指引第 9 号—— 数据资产评估


本专家指引是一种专家建议。评估机构执行资产评估 业务,可以参照本专家指引,也可以根据具体情况采用其 他适当的做法。中国资产评估协会将根据业务发展,对本 专家指引进行更新。


   


第一条 针对数据资产特点,结合目前实际操作中的部分难点和要点,中国资产评估协会组织制定了本专家指引。

第二条 本专家指引所指数据资产是由特定主体合法拥有或者控制,能持续发挥作用并且能带来直接或者间接经济 利益的数据资源。

第三条 本专家指引所指数据资产评估,是资产评估机构及其资产评估专业人员遵守法律、行政法规和资产评估准则, 接受委托对评估基准日特定目的下的数据资产价值进行评定和估算,并出具资产评估报告的专业服务行为。


   


第四条 数据资产的基本状况通常包括:数据名称、数据来源、数据规模、产生时间、更新时间、数据类型、呈现形 式、时效性、应用范围等。执行数据资产评估业务时,资产 评估专业人员可以通过委托人提供、相关当事人提供、自主 收集等方式获取数据资产的基本状况。

第五条 数据资产的基本特征通常包括:非实体性、依托性、多样性、可加工性、价值易变性等。通过对数据资 产基本特征的了解,可以帮助资产评估专业人员分析基本 特征对数据资产价值评估的影响。

(一)非实体性:数据资产无实物形态,虽然需要依托实物载体,但决定数据资产价值的是数据本身。数据的非实体性导致了数据的无消耗性,即数据不会因为使用频率的增加而磨损、消耗。这一点与其他传统无形资产相似。

(二)依托性:数据必须存储在一定的介质里。介质的种类多种多样,例如,纸、磁盘、磁带、光盘、硬盘等, 甚至可以是化学介质或者生物介质。同一数据可以以不同形式同时存在于多种介质。

(三)多样性:数据的表现形式多种多样,可以是数字、表格、图像、声音、视频、文字、光电信号、化学反应、甚至是生物信息等。数据资产的多样性,还表现在数据与数据处理技术的融合,形成融合形态数据资产。例如, 数据库技术与数据,数字媒体与数字制作特技等融合产生


的数据资产。多样的信息可以通过不同的方法进行互相转换,从而满足不同数据消费者的需求。该多样性表现在数据消费者上,则是使用方式的不确定性。不同数据类型拥有不同的处理方式,同一数据资产也可以有多种使用方式。 数据应用的不确定性,导致数据资产的价值变化波动较大。

可加工性:数据可以被维护、更新、补充,增 加数据量;也可以被删除、合并、归集,消除冗余;还可 以被分析、提炼、挖掘,加工得到更深层次的数据资源。

(五)价值易变性:数据资产的价值受多种不同因素影响,这些因素随时间的推移不断变化,某些数据当前看来可能没有价值,但随着时代进步可能会产生更大的价值。 另外,随着技术的进步或者同类数据库的发展,可能会导致数据资产出现无形损耗,表现为价值降低。

第六条 数据资产的价值影响因素包括技术因素、数据容量、数据价值密度、数据应用的商业模式和其他因素。 其中技术因素通常包括数据获取、数据存储、数据加工、数据挖掘、数据保护、数据共享等。

第七条 数据资产可以按照数据应用所在的行业进行划分,不同行业的数据资产具有不同的特征,这些特征可 能会对数据资产的价值产生较大的影响。以下列举的是部 分行业数据资产的特征。


(一)金融行业数据资产的特征通常包括:

1.高效性:金融数据资产的高效性体现在能够提高金融 系统运行效率,降低系统运行成本和维护成本,为数据库终 端拥有人带来超额利润。数据库终端以科学技术为核心,不 断进步的技术可以降低数据库终端的维护成本。

2.风险性:金融数据资产的风险性主要包括研发风险和 收益风险。研发风险是指在研究开发过程中,研究开发方虽 然作了最大限度努力,但由于现有的认识水平、技术水平、 科学知识以及其他现有条件的限制,仍然发生了无法预见、 无法克服的技术困难,导致研究开发全部或者部分失败,因 而引起的财产上的风险;数据库终端是在经历一系列研发失 败之后的阶段性成果,研发失败的支出作为费用处理,账面 的资产价值与研发成本具有弱对应性。金融数据资产的收益 风险是指数据库终端的经济寿命受技术进步和市场不确定性 因素的影响较大,竞争对手新开发或者升级的数据库终端有 可能使得权利人的该项资产价值下降。

3.共益性:金融数据资产的共益性是指数据库终端可以 在同一时间不同地点由不同的主体同时使用。例如,数据库终端有不同的账号和密码,不同的个人账号和密码可以同时 登录使用,机构的同一个账号和密码也可以同时由机构内不 同人员登录使用。

(二)电信行业数据资产的特征通常包括:


1.关联性:电信行业数据几乎承载了用户所有的通信行 为,并且数据之间存在着天然的关联基因。

2.复杂性:电信行业数据不仅包括结构化数据,也包括 非结构化数据以及混合结构数据。

政府数据资产的特征通常包括:数量庞大,领域广泛,异构性强。政府数据跨越了农业、气候、教育、能源、 金融、地理空间、全球发展、医疗卫生、工作就业、公共安全、科学研究、气象气候等领域。这些来源广泛、数量巨大、 非结构化的异质数据,增加了政府管理的难度。

数据资产对政府公共管理的潜在利用价值大。尽管数据资产能在各个领域显著提高创新力、竞争力和产出率,但对于不同部门而言,数据资产所带来的收益程度不同。政府数据资产的构成和特点分析表明,政府在数据占有方面具有天然的优势。占有巨量数据是从数据中挖掘出巨大价值的前提, 但由于政府数据资产来自于横向的不同部门或者管理领域以及纵向的不同层级,其数据资产管理面临着巨大的难度,这一难度既有数据资产及其技术发展方面的障碍,也有政府组织之间相互独立的限制和跨职能部门交流的障碍。

第八条 相同的数据资产,由于其应用领域、使用方法、获利方式的不同,会造成其价值差异。因此对数据资产商业模式的关注,可以帮助资产评估专业人员了解数据资产活动


获取收益的方式。目前以数据资产为核心的商业模式主要有:

提供数据服务模式:该模式的企业主营业务为出售经广泛收集、精心过滤的时效性强的数据,为用户提供各 种商业机会。

提供信息服务模式:该模式的企业聚焦某个行业, 通过广泛收集相关数据、深度整合萃取信息,以庞大的数据中心加上专用的数据终端,形成数据采集、信息萃取、价值传递的完整链条,通过为用户提供信息服务的形式获利。

数字媒体模式:数字媒体公司通过多媒体服务, 面向个体,广泛搜集数据,发挥数据技术的预测能力,开展 精准的自营业务和第三方推广营销业务。

数据资产服务模式:通过提供软件和硬件等技术开发服务,根据用户需求,从指导、安全认证、应用开发和 数据表设计等方面提供全方位数据开发和运行保障服务,满 足用户业务需求,提升客户营运能力。并通过评估数据集群 运行状态优化运行方案,以充分发挥客户数据资产的使用价 值,帮助客户将数据资产转化为实际的生产力。

(五)数据空间运营模式:该模式的企业主要为第三方提供专业的数据存储服务业务。

数据资产技术服务模式:该模式的企业为第三方提供开发数据资产所需的应用技术和技术支持作为商业模式。 例如,提供数据管理以及处理技术、多媒体编解码技术,语


音语义识别技术,数据传输与控制技术等。

第九条 数据资产的法律因素通常包括数据资产的权利属性以及权利限制、数据资产的保护方式等。关注数据资产 所有权的具体形式、以往使用和转让的情况对数据资产价值 的影响、数据资产的历史诉讼情况等法律因素情况,可以帮 助评估专业人员判断法律因素对数据资产价值的影响程度。 十条 数据资产的经济因素通常包括数据资产的取得

成本、获利状况、类似资产的交易价格、市场应用情况、市 场规模情况、市场占有率、竞争情况等。通过对经济因素情 况的分析,资产评估专业人员可以判断经济因素对数据资产 价值的影响程度。

第十一条 数据资产的使用过程中存在隐私保护方面风险。部分数据如果使用不当,可能会产生损害国家安全、 露商业秘密、侵犯个人隐私等问题。数据资产在实际应用中需要考虑合法性,资产评估专业人员应当关注此类事项对据资产评估的影响。

第三章    数据资产的评估方法


第十二条 数据资产价值的评估方法包括成本法、收益法和市场法三种基本方法及其衍生方法。

第十三条 执行数据资产评估业务,应当根据评估目的、


评估对象、价值类型、资料收集等情况,分析上述三种基本 方法的适用性,选择评估方法。数据资产评估方法的选择应 当注意方法的适用性,不可机械地按某种模式或者某种顺序 进行选择。

成本法是根据形成数据资产的成本进行评估。尽管无形资产的成本和价值先天具有弱对应性且其成本具有不完整性, 但一些数据资产应用成本法评估其价值存在一定合理性。

收益法是通过预计数据资产带来的收益估计其价值。这种方法在实际中比较容易操作。该方法是目前对数据资产评估比较容易接受的一种方法。虽然目前使用数据资产直接取得收益的情况比较少,但根据数据交易中心提供的交易数据, 还是能够对部分企业数据资产的收益进行了解。

市场法是根据相同或者相似的数据资产的近期或者往期 成交价格,通过对比分析,评估数据资产价值的方法。根据 数据资产价值的影响因素,可以利用市场法对不同属性的数 据资产的价值进行对比和分析调整,反映出被评估数据资产 的价值。

第十四条 对于成本法,数据资产的价值由该资产的重置成本扣减各项贬值确定。其基本计算公式为:

评估值=重置成本×(1-贬值率)或者评估值=重置成本

-功能性贬值-经济性贬值

第十五条 使用成本法执行数据资产评估业务时,首先要


根据数据资产形成的全部投入,分析数据资产价值与成本的 相关程度,考虑成本法的适用性。然后要确定数据资产的重 置成本。数据资产的重置成本包括合理的成本、利润和相关 税费。合理的成本则包括直接成本和间接费用。

第十六条 在成本法中,数据资产的取得成本需要根据创建数据资产生命的流程特点,分阶段进行统计。尽管数据资 产的存储、分析、挖掘技术复杂多变,但目前普遍使用的流 程可以概括为四步,即数据采集、数据导入和预处理、数据 统计和分析、数据挖掘。其中,数据采集属于数据资产获取 阶段,后三个步骤属于数据资产研发阶段。

数据获取可能是主动获取,也可能是被动获取。数据主动获取可能发生的成本有:向数据持有人购买数据的价款、注册费、手续费,通过其他渠道获取数据时发生的市场调查、 访谈、实验观察等费用,以及在数据采集阶段发生的人工工资、场地租金、打印费、网络费等相关费用。被动获取的数据包括企业生产经营中获得的数据、相关部门开放并经确认的数据、企业相互合作共享的数据等。从企业角度看,被动获取的数据如果要形成数据资产,还需要企业自身进行大量资源数据的清洗、研发和深挖掘,在数据获取阶段企业付出的成本较小,因此在获取阶段,可以只考虑发生的数据存储等费用,成本重心落在数据资产研发阶段。研发阶段发生的


成本通常包括设备折旧、研发人员工资等费用。采用成本法 进行数据资产评估时,需要合理确定贬值。数据资产贬值主 要包括:功能性贬值和经济性贬值。

第十七条 在传统无形资产成本法的基础上,可以综合考虑数据资产的成本与预期使用溢价,加入数据资产价值影响 因素对资产价值进行修正,建立一种数据资产价值评估成本 法模型。成本法模型的表达式为:

P=TC×(1+R)×U

其中:

P评估值;

TC数据资产总成本;

R数据资产成本投资回报率;

U数据效用。

第十八条 在上述评估模型中,数据资产总成本TC表示数据资产从产生到评估基准日所发生的总成本。数据资产 总成本可以通过系统开发委托合同和实际支出进行计算, 主要包括建设成本、运维成本和管理成本三类,并且不同 的数据资产所包含的建设费用和运维费用的比例是不同的。因 此,每一个评估项对数据资产价值产生多大的影响,必 须给出一个比较合理的权重。其中建设成本是指数据规划、采集获取、数据确认、数据描述等方面的内容;运维成本 包含着数据存储、数据整合、知识发现等评价指标;管理


成本主要由人力成本、间接成本以及服务外包成本构成。 第十九条 在上述评估模型中,数据效用U是影响数据价

值实现因素的集合,用于修正数据资产成本投资回报率R。 数据质量、数据基数、数据流通以及数据价值实现风险均 会对数据效用U产生影响。定义数据效用的表达式为:

U (1 l)(1 r)



其中:


α数据质量系数;

β数据流通系数;

l 数据垄断系数;

r数据价值实现风险系数。


(一)数据质量系数α

数据质量是指数据固有质量,可以通过对数据完整性、 数据准确性和数据有效性三方面设立约束规则,利用统计分析数据是否满足约束规则完成量化。基于统计学的思想, 数据质量为满足要求的数据在数据系统中的百分比。数据质量的评价办法由数据模块、规则模块和评价模块三者组成。

数据模块是数据资产价值评估的对象,即待评估数据


资产的合集。

规则模块用于生成数据的检验标准,即数据的约束规则。约束规则应当根据具体的业务内容和数据自身规则(如 值域约束和语法约束)提炼出基本约束,并归纳形成规则库。 在对数据质量进行评价时,约束规则是对数据进行检测的 依据。

评价模块是数据质量评估办法的关键模块,目的是利 用规则模块中的约束规则对数据进行检验并分析汇总。各 个规则模块获取的结果需要加权汇总以获得最终的数据质 量系数。

(二)数据流通系数β

数据资产按流通类型可以分为开放数据、公开数据、 共享数据和非共享数据四类。因此,在考察数据流通效率 时,首先通过可流通数据量占总数据量的比重确定数据对 外开放共享程度;然后,考虑到不同的数据流通类型对数 据接受者范围的影响,需要将数据传播系数考虑进来。传 播系数是指数据的传播广度,即数据在网络中被他人接受 的总人次,可以通过查看系统访问量、网站访问量获得。

数据流通系数表示为:

数据流通系数=(传播系数可流通的数据量)/总数据量

=( a 开放数据量+ b 公开数据量+ c


享数据量)/总数据量

其中,abc分别为开放、公开和共享三种数据流通 类型的传播系数,非共享数据流通限制过强,对整体流通 效率影响忽略不计。

(三)数据垄断系数l

数据资产的垄断程度是由数据基数决定,即该数据资 产所拥有的数据量占该类型数据总量的比例,可以通过某 类别数据在整个行业领域内的数据占比衡量,即通过比较 同类数据总量来确定。

数据垄断系数表示为:

数据垄断系数=系统数据量/行业总数据量

数据是现实事物的客观描述。衡量某种数据的垄断性 不仅受限于所属行业,还可能与其所处的地域相关。

(四)数据价值实现风险系数r

在数据价值链上的各个环节都存在影响数据价值实现的风险。数据价值实现风险分为数据管理风险、数据流通风险、增值开发风险和数据安全风险四个二级指标和设备故障、数据描述不当、系统不兼容、政策影响、应用需求、 数据开发水平、数据泄露、数据损坏八个三级指标。由于数据资产价值实现环节较多且评估过程复杂,可以采用专家打分法与层次分析法获得其风险系数。


第二十条 收益法评估数据资产时,数据资产作为经营资产直接或者间接产生收益,其价值实现方式包括数据分析、 数据挖掘、应用开发等。收益法较真实、准确地反映了数据 资产本金化的价值,更容易被交易各方所接受。

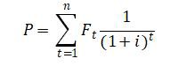
 第二十一条 收益法评估的基本计算公式为:

其中:

P评估值;

Ft数据资产未来第t个收益期的收益额;

n剩余经济寿命期;

t未来第t年;

i折现率。

根据收益法基本公式,在获取数据资产相关信息的基础 上,根据该数据资产或者类似数据资产的历史应用情况以及 未来应用前景,结合数据资产应用的商业模式,重点分析数 据资产经济收益的可预测性,考虑收益法的适用性。

第二十二条 在估算数据资产带来的预期收益时,需要区分数据资产和其他资产所获得的收益,分析与之有关的预期变动、收益期限、成本费用、配套资产、现金流量、风险因素等。

数据资产的预期收益是因数据资产的使用而额外带来的


收益,数据资产收益现金流是全部收益扣除其他资产的贡献后归属于数据资产的现金流。数据资产的获利形式通常包括: 对企业顾客群体细分、模拟实境、提高投入回报率、数据存储空间出租、管理客户关系、个性化精准推荐、数据搜索等。 目前确定数据资产现金流的方法有增量收益、收益分成或者超额收益等方式。确定预期收益时,注意区分并剔除与委托评估的数据资产无关的业务产生的收益,并关注数据资产产品或者服务所属行业的市场规模、市场地位以及相关企业的经营情况。

第二十三条 使用收益法执行数据资产评估业务时,需要综合考虑法律保护期限、相关合同约定期限、数据资产的产 生时间、数据资产的更新时间、数据资产的时效性以及数据 资产的权利状况等因素确定收益期限。收益期限不得超出产 品或者服务的合理收益期。

第二十四条 使用收益法执行数据资产评估业务时,应当合理确定折现率。折现率可以通过分析评估基准日的利率、 投资回报率,以及数据资产权利实施过程中的技术、经营、 市场、资金等因素确定。数据资产折现率可以采用无风险报 酬率加风险报酬率的方式确定。数据资产折现率与预期收益 的口径保持一致。

第二十五条 执行数据资产评估业务,选用市场法的前提


条件是具有公开并活跃的交易市场。

第二十六条 市场法通过以下公式中的因素修正评估数据资产价值:

被评估数据资产的价值=可比案例数据资产的价值×技 术修正系数×价值密度修正系数×期日修正系数×容量修正 系数×其他修正系数

第二十七条 使用市场法执行数据资产评估业务时,在充分了解被评估数据资产的情况后,需要搜集类似数据资产交易案例相关信息,包括交易价格、交易时间、交易条件等信息,并从中选取可比案例。对于类似数据资产,可以从相近数据类型和相近数据用途两个方面获取。目前比较常见的数据类型包括:用户关系数据、基于用户关系产生的社交数据、 交易数据、信用数据、移动数据、用户搜索表征的需求数据等。目前比较常见的数据用途包括:精准化营销、产品销售预测和需求管理、客户关系管理、风险管控等。

第二十八条 使用市场法执行数据资产评估业务时,应当收集足够的可比交易案例,并根据数据资产特性对交易信息 进行必要调整,调整参数一般可以包括技术修正系数、价值 密度修正系数、期日修正系数、容量修正系数和其他修正系 数。

其中,技术修正系数主要考虑因技术因素带来的数据资 产价值差异,通常包括数据获取、数据存储、数据加工、数


据挖掘、数据保护、数据共享等因素。

期日修正系数主要考虑评估基准日与可比案例交易日期的不同带来的数据资产价值差异。一般来说,离评估基准日越近,越能反应相近商业环境下的成交价,其价值差异越小。 期日修正系数的基本公式为:期日修正系数=评估基准日价格指数/可比案例交易日价格指数。

容量修正系数主要考虑不同数据容量带来的数据资产价值差异,其基本逻辑为:一般情况下,价值密度接近时,容量越大,数据资产总价值越高。容量修正系数的基本公式为: 容量修正系数=评估对象的容量/可比案例的容量。当评估对象和可比案例的价值密度相同或者相近时,一般只需要考虑数据容量对资产价值的影响;当评估对象和可比案例的价值密度差异较大时,除需要考虑数据容量之外,还需要考虑价值密度对资产价值的影响。

价值密度修正系数主要考虑有效数据占总体数据比例不 同带来的数据资产价值差异。价值密度用单位数据的价值来 衡量,价值密度修正系数的逻辑为:有效数据指在总体 数据中对整体价值有贡献的那部分数据占总体数据量比 重越大,则数据资产总价值越高。如果一项数据资产可以进 一步拆分为多项子数据资产,每一项子数据资产可能具有不 同的价值密度,那么总体的价值密度应当考虑每个子数据资


产的价值密度。

其他修正系数主要考虑数据资产评估实务中,根据具体数据资产的情况,影响数据资产价值差异的其他因素,例如, 市场供需状况差异。可以根据实际情况考虑可比案例差异, 选择修正系数。

第二十九条 当前正值数据资产市场建设期,交易透明度、信息公开度还需要时间来提升,有些数据资产不是在 企业经营中形成直接收益,直接预测收益有一定难度,需 要进行大量的市场调研、应用推演和实践检验。在上述条 件下,可以考虑使用成本法,而收益法和市场法通常适用 于交易性和收益性较好的数据资产评估。

第三十条 资产评估专业人员执行数据资产评估业务时,不论选择哪种评估方法进行评估,都应当保证评估目 的与评估所依据的各种假设、前提条件,所使用的各种参 数,在性质和逻辑上的一致。尤其是在运用多种评估方法 评估同一评估对象时,更要保证每种评估方法运用中所依 据的各种假设、前提条件,数据参数的可比性,以便能够 使运用不同评估方法所得到的测算结果具有可比性和相互 可验证性。

第四章    数据资产评估报告的编制


第三十一条 鉴于我国数据资产的产权还没有专门的


法律法规予以明确,在编制数据资产评估报告时,可以就 数据资产的来源、加工、形成进行描述,关注资产评估相 关准则对评估对象产权描述的规定。

第三十二条 在编制数据资产评估报告时,不得违法披露数据资产涉及的国家安全、商业秘密、个人隐私等数据。 第三十三条 编制数据资产评估报告需要反映数据资产

的特点,通常包括下列内容:

评估对象的详细情况,通常包括数据资产的名称、 来源、数据规模、产生时间、更新时间、数据类型、呈现形式、时效性、应用范围、权利属性、使用权具体形式以及法律状态等;

(二)数据资产应用的商业模式;

(三)对影响数据资产价值的基本因素、法律因素、经济因素的分析过程;

(四)使用的评估假设和前提条件;

(五)数据资产的许可使用、转让、诉讼和质押情况;

有关评估方法的主要内容,包括评估方法的选取及其理由,评估方法中的运算和逻辑推理公式,各重要参数 的来源、分析、比较与测算过程,对测算结果进行分析并形 成评估结论的过程;

(七)其他必要信息。



分享到:
发现价值   诚信执业   专业高效  合作共赢
海南瑞衡资产评估土地房地产估价有限公司全国统一服务热线:0898-68540528  68535553
联系地址:海口市国贸大道48号新达商务大厦805、808室 联系电话:0898-68540528、68535553 公司邮箱:1814416629@qq.com